Mathematical Formulas || বীজগাণিতিক সূত্রাবলী Part - 1
গণিতের সূত্র নিয়ে আমাদের ধারাবাহিক পর্বের এ পর্বে থাকছে বীজগাণিতিক সূত্রাবলি অধ্যায়ের সূত্রসমূহ। আসা করি এই সূত্রগুলো আপনার অনেক উপকারে আসবে।
৯ম ও ১০ম শ্রেণির Mathematical Formulas। ৯ম ও ১০ম শ্রেণির Mathematical Formulas।৯ম ও ১০ম শ্রেণির Mathematical Formulas।৯ম ও ১০ম শ্রেণির Mathematical Formulas।
৯ম ও ১০ম শ্রেণির Mathematical Formulas। ৯ম ও ১০ম শ্রেণির Mathematical Formulas।৯ম ও ১০ম শ্রেণির Mathematical Formulas।৯ম ও ১০ম শ্রেণির Mathematical Formulas।
বীজগাণিতিক সূত্রাবলী
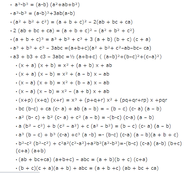
নিচে আমি পিকচারের মাধ্যমে বীজগাণিতিক সূত্রাবলী দিয়ে দিচ্ছি। আশা করি এই সূত্রগুলো ব্যবহার করে আপনি বীজগাণিতিক সকল সমস্যার সমাধান করতে পারবেন।
পৃষ্টা নাম্বার-১
পৃষ্টা নাম্বার-২
কিছু কথা
নিচের দেওয়া লিংক বা আইডিগুলোর মাধ্যমে আমাদের সাথে যোগাযোগ করতে পারবেন। তবে ফেসবুক গ্রুপে যুক্ত থেকে আপনি যে কোন সাবজেক্ট এর যে কোন অধ্যায় এর হ্যান্ড নোট ও সাজেশান নিতে পারবেন।
নিয়মিত আপডেট পেতে অবশ্যই ফেসবুক গ্রুপে যুক্ত থাকুন। আশা করি আমাদের এই ক্ষুদ্র প্রয়াস আপনাদের উপকারে আসবে।
আমাদের সাথে যোগাযোগ করার ঠিকানা
নিচের দেওয়া লিংকগুলোর মাধ্যমে আমাদের সাথে যে কোন সময় যোগাযোগ করতে পারবেন। আশা করবো আপনার কোন জিজ্ঞাসা থাকলে আমরা সহযোগীতা করার চেষ্টা করবো ইনশাআল্লাহ।
আমাদের ফেসবকু পেজ = ক্লিক করুন এখানে
আমাদের ফেসবুক গ্রুপ ০১ = ক্লিক করুন এখানে
আমাদের ফেসবুক গ্রুপ ০২ = ক্লিক করুন এখানে
আমাদের টুইটার আইডি = ক্লিক করুন এখানে
আমাদের পিন্টারেস্ট আইডি লিংক = ক্লিক করুন এখানে
আমাদের ইউটিউব চ্যানেল = ক্লিক করুন এখানে
আমাদের ইমেইল = digitaliseba@gmail.com
বি. দ্র. একটা বই থেকে সমাধান ও গাণিতিক সমস্যাগুলো নেওয়া হয়েছে। যদিও ছাত্র-ছাত্রীদের চর্চা করানোর জন্য এই বিষয়টা এখানে সামান্য করে দেওয়া হয়েছে। আশা করবো সবাই নিজেদের চর্চা করার কাজে ব্যবহার করবেন পেজগুলো।

0 Comments
Post a Comment